在国际债券融资市场中,零息债券占据的份额可谓并不小。然而,在国内债券市场上,零息债券虽然曾被发行成功,但期限较短,一般少于一年。那么,何为零息债券呢?本文,领峰小编将针对零息债券的定义、特点、定价和优势等方面进行一一讲解,详细请看以下内容。
1.零息债券的定义
所谓零息债券(Zero Coupon Bond),又称“贴息债券”,是指以贴现方式发行,不附息票,而于到期日时按面值一次性支付本利的债券。
2.零息债券的特点
一般而言,零息债券的具体特点包括四点。
其一,零息债券以低于面值的贴现方式发行,由其发行贴现率决定债券的利息率;
其二,零息债券的兑付期限固定,到期后将按债券面值还款,形式上无利息支付问题;
其三,零息债券的收益率具有先定性,对于投资者具有一定的吸引力;
其四,零息债券在税收上具有一定优势,按照许多国家的法律规定,此类债券可以避免利息所得税。
3.零息债券的定价
零息票债券的买入价与到期日赎回的面值之间的价差,即为资本增值,可用公式表示为:买入价= 面值 - 资本增值
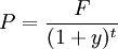
另外,计算零息票债券价格的公式为:

其中,P代表价格,F代表面值,y代表折让率(收益率或孳息),t代表距离到期的时间。
4.零息债券的优点
为何选择零息债券?它的优点有哪些呢?概括性而言,零息债券的优点为:
(1)按照税法规定,零息债券或低息债券发行时的折扣额可以在公司应税收人中进行摊销;
(2)公司每年无须支付利息或只需支付很少的利息。
以上零息债券的内容,由领峰贵金属提供,只供参考用途,并不构成任何现货黄金操作建议或者现货白银操作建议。欲了解更多贵金属投资知识,可关注领峰学院,将有更多专业的答案供您参考。
在国际债券融资市场中,零息债券占据的份额可谓并不小。然而,在国内债券市场上,零息债券虽然曾被发行成功,但期限较短,一般少于一年。那么,何为零息债券呢?本文,领峰小编将针对零息债券的定义、特点、定价和优势等方面进行一一讲解,详细请看以下内容。
1.零息债券的定义
所谓零息债券(Zero Coupon Bond),又称“贴息债券”,是指以贴现方式发行,不附息票,而于到期日时按面值一次性支付本利的债券。
2.零息债券的特点
一般而言,零息债券的具体特点包括四点。
其一,零息债券以低于面值的贴现方式发行,由其发行贴现率决定债券的利息率;
其二,零息债券的兑付期限固定,到期后将按债券面值还款,形式上无利息支付问题;
其三,零息债券的收益率具有先定性,对于投资者具有一定的吸引力;
其四,零息债券在税收上具有一定优势,按照许多国家的法律规定,此类债券可以避免利息所得税。
3.零息债券的定价
零息票债券的买入价与到期日赎回的面值之间的价差,即为资本增值,可用公式表示为:买入价= 面值 - 资本增值
另外,计算零息票债券价格的公式为:
其中,P代表价格,F代表面值,y代表折让率(收益率或孳息),t代表距离到期的时间。
4.零息债券的优点
为何选择零息债券?它的优点有哪些呢?概括性而言,零息债券的优点为:
(1)按照税法规定,零息债券或低息债券发行时的折扣额可以在公司应税收人中进行摊销;
(2)公司每年无须支付利息或只需支付很少的利息。
以上零息债券的内容,由领峰贵金属提供,只供参考用途,并不构成任何现货黄金操作建议或者现货白银操作建议。欲了解更多贵金属投资知识,可关注领峰学院,将有更多专业的答案供您参考。
标签:
下一篇: 不可转换债券